科普培训
科普培训
当前位置:首页 > 科普培训 >

科普周活动|绿色节能装配式建筑成套技术分析

发布时间:2023-09-19 09:04:00

【摘要】为了解决装配式建筑施工过程中存在的裂缝、渗水等问题,弱化后期安装装配过程中存在的风险,针对成套技术展开深入分析,研究具体的落实要点,以对装配式建筑施工工艺进行优化。在对装配式建筑成套技术进行分析的过程中运用了案例分析法、数据分析法等明确成套技术本身的应用现状,针对其中的数据参数进行调查。通过本文研究,进一步了解了成套技术其中的创新要点,让信息化、数字化技术能够在装配成套技术中得到进一步落实,明确了建筑工程的绿色节能发展方向。在装配式阳台成套技术应用过程中,弱化了应用流程,做到了环保施工,质量有保障,施工周期大幅度缩短,值得推广应用。


【关键词】绿色节能 ;装配式建筑 ;成套技术 ;技术优化




装配式建筑是在节能降耗理念下推出的一种全新的建筑行业技术,不仅可以降低噪声污染也能够提高建筑本身的性能。将成套技术应用其中,可以进一步落实绿色环保性能,促进建筑行业可持续发展,提高装配效率,降低装配成本,强化装配质量,实现定制化、预制化生产,从根本上促进建筑行业的健康发展。最为关键的是,在大数据时代下,可以进一步借助云计算、数字化、智能化等新技术让装配式建筑成套技术得到落实,为建筑行业的发展奠定基础。


1. 装配式建筑的发展概况简述


装配式建筑是一种绿色节能型施工模式,其最为突出的特点是可预制、可定制,符合国家现阶段的建筑发展模式,而且这种装配式建筑和钢结构建筑之间可以实现循环使用,作为一种新型技术,其本身低碳环保、成本低但效率高。在城市化装配式建筑不断推广,污染治理、能耗治理力度不断提高的情况下,建筑结构一体化工作必须得到进一步落实。国内在装配式建筑发展过程中已经取得了一定的成绩,高层建筑、多层建筑中都已经应用了装配式建筑技术,可以将更多的工序前置化,施工流程简化,目前国内对装配式建筑也提出了相应的标准。但从实际情况看,预制装配式施工技术还存在很多的问题,需要得到妥善解决,以此最大程度提高施工质量、保证施工安全性,让装配式施工技术得到更好地落实,真正改变传统建筑行业中存在的问题。以阳台技术为例,现阶段大部分装配式阳台预制技术面临着较大的安装问题、运输问题、生产问题,安装施工效率往往受到不同程度的影响,而且这种拼接性质的阳台构件渗水、裂缝问题较为严重。最为关键的是,一些装配式阳台承受能力较弱,很容易出现塑性变形、垮塌失稳等情况。在此背景下,装配式建筑成套施工技术的提出,并被在建筑行业内迅速扩展,工程施工建设水平不断提高,施工技术也逐渐朝着多样化的方向发展。


随着城市化发展水平不断提高,国家、社会对人和自然环境之间的关系产生了更加深刻的认识,环境保护的重要性突显。近年来,国家大力发展低碳经济,强化“节能减排、绿色低碳”,建筑作为高耗能、高耗材的行业之一,在新时期,必须抛弃传统的建筑设计理念,在后期建筑设计、建设中落实智慧城市理念,打造出真正的“绿色建筑”,融入人和自然的和谐发展观。


以上海某高层建筑为例,在综合考虑多方面因素后,最终确定预制装配式施工模式,为确保施工效果和施工效率,施工承建方选择第三方厂家进行预制构件。经过综合评估选择工艺技术较为成熟、性价比较高的某预制企业,但在实际开展过程中,由于在生产、运输等关键性环节上缺少监管,导致构件在运输和生产过程中出现不同程度的质量问题,预制装配式施工整体建设受到了极大的阻碍。以该高层建筑的平板制作为例,不仅材料本身出现问题,在运输过程中也出现磕碰,在安装过程中发现一些材料之间存在参数数据错误,这些细节上的疏忽对后续的建筑流程造成阻碍,进而导致问题扩大化。另外,该高层建筑面临着严峻的预制构件连接点质量问题,而且该建筑项目本身对钢筋套筒连接用材料有着明确的要求,一旦出现偏移,建筑整体都会受到影响无法满足实际建设需求。在这一建筑项目施工过程中,出现灌浆不饱满或者套筒连接错位等问题。虽然在后期得到妥善解决,但无形之中增加了建筑施工成本,施工人员不得已在很多细致问题上进行返工处理,施工效率下降、施工周期被迫延长,施工变更导致经济效益空间缩小。除该案例中面临的问题之外,在调查其他装配式建筑工程项目的过程中,管线和构件的施工质量等方面也存在一定的潜藏性风险,如 :构件的吊运、安装、连接等。不仅如此,在很多装配式施工现场经常会出现材料大量堆积、混乱度较高,空间没有得到合理利用等细节性问题,严重影响了施工效率。这样的情况下,不仅没有达到应有的节能降耗、绿色环保等理念,预制构件的质量很难得到保证,建筑整体质量也因此大打折扣。


2. 装配式建筑的前期与运输设计分析

2.1 前期设计分析

根据建筑本身的结构,装配式建筑可以分为外墙、承重墙、防水等不同的环节,从成套技术角度出发,可以分为门窗成套、外墙装饰成套、屋顶防水保温成套、墙体压光成套、承重墙和非承重墙成套以及房屋主体成套。在这样的情况下,过往装配式建筑所面临的问题得到解决,可以实现流水型作业,最大程度避免了裂纹等问题的出现。在智慧城市理念之下,智能建筑在设计过程中,必须充分考虑到建筑安全问题,无论是外部结构还是内部空间。比如,可以利用 BIM 技术对建筑结构内外进行可视化分析,及时发现建筑中可能存在的问题。对此,本文以阳台成套技术为例,具体分析成套技术的落实。综合来看,这些成套技术增加了建筑结构本身的防火、保温、隔音等不同的效果,而且施工程序简化、施工危险性被削弱,可实现一次性安装。最为关键的是,这种成套技术打破了传统建筑施工中需要多个工种共同作业的要求,建筑生产效率得到了根本上的提高 [1]。图 1

图片


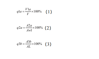
为钢筋装配技术应用流程图,从流程图中可以看出,在采用成套技术后安装的科学、合理性得到提高,钢筋质量得到保证,为后续其他施工奠定了良好的基础。公式(1)、(2)、(3)展现的是内部部件预制比,其中公式(1)是建筑主体结构预制比,公式(2)是内隔墙预制比、公式(3)是设备装修管线预制比,其中 V 表示墙板、承重墙的总体积、V1a 则为相对应的混凝土体积。同理,A2a 为非承重围护的表面积综合,Aw1 则为建筑围护墙的总面积,A3b 则表示的是内地面和楼面的水平投影综合,AL 则是扣除了洞口、墙柱后的楼层总面积。根据这些公式可以更好地确定预制结构的参数数据。

图片

2.2 运输设计分析

从建筑节能角度出发,想要实现绿色节能建筑需要综合考虑到保温隔热性能、气密性能、高效新风热回收性能等多方面技术,成套技术在实际应用过程中,需要在综合考虑上述因素的基础上,落实针对性的成套技术处理措施。装配式建筑本身具有降低材料、能源消耗等方面特点,成套技术的落实可以进一步提高建筑本身的灵活性,简化施工流程,为了让装配式建筑体系得到更好的发展,还需要结合实际案例进一步优化建筑结构,并且针对成套技术的落实展开综合性分析。在成套建筑中应用了 BIM 技术完成图纸设计、模板拆分,对具体参数和连接节点展开了创新优化,有效保证了防水效果。以该建筑施工方案为例,采用了 U 型阳台挂板,落实一体化阳台。从综合情况来看,有效减少了预制构件的数量,让防水效果最大化,而且节点处的渗水问题也得到了解决。从具体的防水质量设计来看,采用竖向缝进行连接,并且预留了凹槽,在粗糙面和防水砂浆、膨胀剂的加持下,整体效果、质量得到了根本上的保证。从具体的生产流程校对来看,生产便捷、安全,相比较传统的预制式生产工艺,这种复杂构件的立模生产工艺难度标准化程度更高,而且精准性、自动化、集成化程度也相对极高,人工成本较低。最为关键的是,这种模具可以重复使用,综合成本较低 [2]。从运输角度来看,成套封闭式组合阳台和预制楼梯搭配运输,可以有效降低运输成本。

图片




3. 施工安装探讨

从安装角度来看,成套阳台施工技术可以在工厂内完成组合拼装、后续借助吊车进行整体运输、吊装,施工安全可靠、施工质量降低,在这个过程中要进一步落实安装定位,以此保证精确度。从另一角度来讲,相比较信息管理体系也会得到更好的优化,RFID 技术也可以实现集中化管理,能够让质量控制得到更好的保证。该项建筑面积约为 70 万 m2,属于高层住宅楼,除了在阳台实施成套装配式建筑之外,还落实了 PCF 板这一一体化叠合外墙成套技术。综合计算后混凝土总方量可以达到 7万 m2,构件总重量达到 16 万 t,其中封闭式阳台一体化面积约为 3 万 m2,综合来看节约了 500 万元。


3.1 技术分析

在这一施工过程中,主要应用到了以下几种施工技术 :第一,NPC 技术。通过竖向、横向之间单元的连接,将不同构件连接在一起,但对技术操作要求较多,容易出现灌浆孔,想要保证最终的灌浆质量难度较大[3]。第二,PC 技术、PCF 技术。常用于预制构件的制作、安装以及外墙模板等方面,内隔板、空调板、窗户框、墙板、阳台和楼梯等区域,抗震性较强、整体性能较优、保温隔音效果也非常显著,是目前应用最为广泛的施工技术。但对各个指标参数的计算准确性要求较高,一旦出现误差,就会对建筑整体抗震性能产生负面影响。第三,混凝土模式剪力墙技术。常用于阳台连接、楼梯板连接,通过插入式预留孔灌浆钢筋,常用于建筑结构体系较大的工程项目,非常考验施工人员的吊装技术。第四,叠合板模式的剪力墙技术。常用于预制楼梯、叠合式楼板及叠合式墙板等,应用范围非常有限,国内常用于地下车库。


3.2 吊装分析

在封闭式阳台吊装过程中,还需要考虑到吊装的变形性和疲劳性,采用科学的方式合理起吊,降低事故发生概率。在封闭式阳台成套技术落实过程中,采用了整体吊装的方式,将阳台挂板和空调一体化阳台板完成拼装后,再运输到现场,借助平衡吊架进行整体吊装,然后借助连接角铁这一零部件完成安装定位,整体结构更加可靠。这种封闭式阳台具备轻质防水等特点,可以说是门窗一体化预制技术,彻底解决渗漏隐患。以该施工项目为例,采用工业装配式成套式设计,综合运用了网络、通信、自动控制、GIS/BIM、VR/AR 等技术,将智慧工地系统贯穿于项目的全过程,实现了信息数据的无缝传递,确保成套式施工项目的建设效率和精度。从该项目的实际发展现状来看,智慧工地系统的应用让施工现场工程建设信息传递问题得到妥善解决,从根本上避免了信息断层和信息孤岛问题。不仅如此,在各个生命周期阶段也都具有一定的促进作用。在封闭式阳台发展过程中利用智慧工地系统在施工前,对封闭式阳台吊装过程中可能遇到的风险因素部分进行可见性模拟,利用 BIM 360Glue,将整体建筑效果应用到 BIM 模型中,施工人员就可以通过终端对建筑整体进行勘察,发现其中存在的问题,进行安全检查,及时消除安全隐患。最为关键的是,还要对封闭式阳台的结构技术、标准模型展开分析,生产效率得到提高,生产成本得到降低,打造出全新的建筑体系 [4]。在装配式成套施工过程中,需要对具体的防火要求、防水要求进行确认,综合考虑到地区环境温度等外界环境,确保这种封闭性阳台成套技术中的参数和具体装配,在落实过程中贴合建筑本身的需求。


4. 总结

综上,在建筑工程中预制装配式结构已经是目前较为常见的一种技术,拥有良好的发展前景,但施工质量、施工效率还有待提高。加强对预制装配成套施工技术的分析和优化,可以有效提高施工效果,弱化传统装配式技术存在的问题和缺陷。预制装配式成套技术中,所有的构件和组装都可以更加顺利地完成,采用干式节点进行连接,极大地缓和传统施工方法存在的弊端,借助 BIM 技术等计算机技术解决了尺寸偏差等方面的问题。




【参考文献】

[[1] 郑怀敏 . 仿古装配式建筑发展前景 [J]. 居业 ,2022(02):216-218.

[2] 刘畅 , 贾信志 , 田旭 . 钢结构装配式建筑的发展及技术体系特点 [J]. 混凝土世界 ,2021(07):74-76.

[3] 杨历勇 . 虚拟装配技术在成套电气领域的运用浅析 [J]. 中国设备工程 ,2022(05):217-218.

[4] 刘新伟 , 薛建新 , 廖逸安 . 装配式叠合外墙的设计 - 生产 - 施工技术研究 [J]. 建筑节能 ,2020,48(03):161-165.



作者:甘肃第六建设集团股份有限公司 关键


本文来源:《中国建设信息化》杂志、住房和城乡建设信息化



>